Understanding Sluice Gates: Types, Functions, and the Discharge Equation Explained

 Lecture-09

Sluice Gates

A sluice gate is a hydraulic structure used to control water flow in open channels, such as rivers, canals, or reservoirs. It consists of a movable gate that can be raised or lowered to regulate water flow. A sluice gate operates by lifting or lowering the barrier using a hoisting mechanism. When raised, water flows through the opening, and when lowered, the flow is restricted or stopped. The flow rate depends on the gate opening and upstream water pressure.

Purpose:

    • Control water flow and discharge.
    • Manage water levels in irrigation, flood control, and hydropower systems.
    • Prevent sediment buildup in channels.

 Types of Sluice Gates

1.     Vertical Sluice Gates:

o    Move vertically up and down.

o    Commonly used in small to medium-sized channels.


2.     Radial (Tainter) Gates:

o    Curved gates that rotate around a pivot point.

o    Used in large-scale applications like dams.


Fig. Source: Wikipedia

3.     Flap Gates:

o    One-way gates that allow water to flow in one direction only.

o    Often used in tidal areas.

    Fig. Source: Google

Sluice gate discharge equation

The conventional sluice gate discharge equation:

Q = Cd abP(2gho

Q = The Sluice-Gate Discharge;

a = The Sluice-Gate Opening;

b = The Sluice-Gate Length;

h0 = The Upstream Water Depth;

g = Gravitational Acceleration; And

Cd = discharge coefficient.

Discharge coefficient for free flow conditions



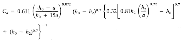
Discharge coefficient for Submerged Flow Condition

 



Under submerged flow conditions the discharge coefficient is zero when ho = h2 (the tailwater depth).

For submerged flow to exist, the following condition is to be satisfied:

On the other hand, the condition for existence of free flow is:


Resultant Force on The Gate

 




γ= specific weight of water = ρg

ρ = density of water

Q = flow rate
 v1, d1 = upstream velocity and depth
 v2, d2 = downstream velocity and depth
       w = width of rectangular channel / flow width 

 


Example:

A sluice gate is used to control the water flow rate over a dam. The gate is 20 ft wide, and the depth of the water above the bottom of the sluice gate is 16 ft. The depth of the water upstream of the gate is 20 ft, and the depth downstream is 3 ft. Estimate the flow rate under the gate and the force on the gate. The water density is 62.4 lb./ft3.

Solution:

V2 = 33.5 ft/s

V1 = 5.02 ft/s

Q = 2010 ft3/s

Fg = 1.33 x 105 lb.

 

 Reference:

Swamee, P. K. (1992). SLUICE-GATE DISCHARGE EQUATIONS. In Journal of Irrigation and Drainage Engineering (Vols. 118, Issue 1, pp. 56–59). ASCE. http://pubs.asce.org/copy

Build Struct : Exploring Insights of Civil Engineering

Post a Comment

Previous Post Next Post